Droplets of humidity

维萨拉湿度计算器

维萨拉湿度计算器让复杂的湿度计算和换算更加方便。它涵盖了所有主流参数,使用起来毫不费力。知道其中一个参数值和允许误差,就可以计算出多个湿度参数。

维萨拉湿度计算器可针对以下参数进行计算和转换: 

  • 相对湿度、湿球温度、焓值、水含量、露点温度、绝对湿度、水气压力、水含量(湿基)、露/霜点温度、混合比、饱和水气压力、相对湿度(露/霜点)
H2O2 molecule

气化过氧化氢计算器

通过使用这款气化过氧化氢计算器,您可以分别模拟在封闭和开放系统中或自由蒸发条件下的生物净化过程。只需选择方式并输入阶段持续时间、温度、注入速率、H2O2 液体浓度等参数即可。在模拟器中模拟工艺过程,并查看对冷凝点、相对湿度、相对饱和度和可达到的 vH2O2 ppm 浓度的影响。

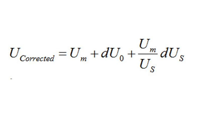
Corrected humidity reading formula

湿度换算公式

我们编写了一本综合性技术电子书,它能够支持您掌握基本的湿度换算公式,满足自己的湿度计算需求。通过这本电子书,您将获得自行完成湿度计算所需的知识和技能。了解不同的湿度参数之间如何相互关联,以及如何进行换算和计算。